Assessment of salt tolerance in Xinjiang Uighur wheat

 

Kanako Kawaura*, Tsuneyuki Naruse, Keisuke Sekine, Yasunari Ogihara

 

Kihara Institute for Biological Research, Yokohama City University,

Maioka-cho 641-12, Totsuka-ku, Yokohama 244-0813, Japan

 

*Corresponding author: Kanako Kawaura

E-mail: kawaura@yokohama-cu.ac.jp

 

 

Salt stress is one of the crucial problems in irrigated fields, because excess salt affects plant growth and reduces agricultural crop production. Therefore, the mechanisms of salt response or salt tolerance have been studied using biological and genetic approaches. Recently, it was shown that some signaling pathways of salt stress share features with those of drought stress (review; Zhu 2002). Wheat is an important crop and the damages inflicted by salt stress pose an enormous problem worldwide, especially in arid regions. We expected to discover a strain that is highly resistant to salt stress as well as to drought stress in the Xinjiang Uighur landrace, because Xinjiang Uighur has a semi-arid or desert climate area, which means that the landrace is growing under drought conditions. In this study, we assessed the potential of salt tolerance in landrace strains from Xinjiang Uighur by using a hydroponic growth system.

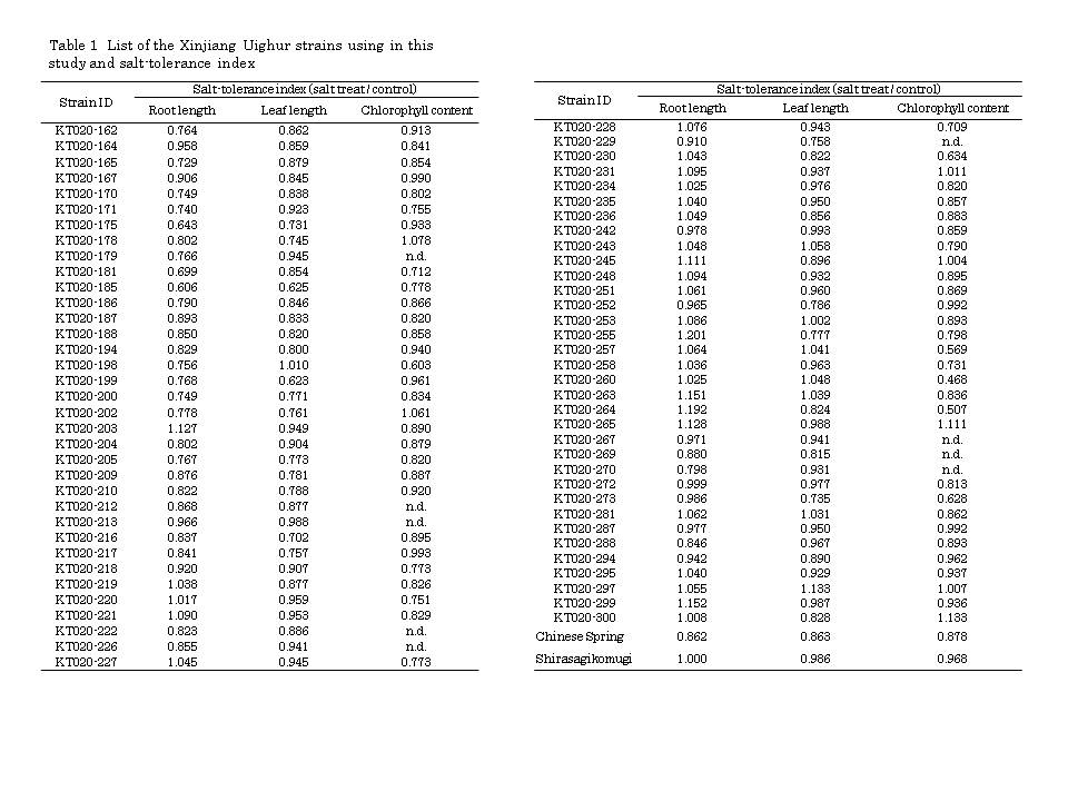
Seventy strains of the Xinjiang Uighur landrace (Triticum aestivum L.) obtained from National Bioresource Project (NBRP) wheat were used in this study. Among the 340 strains of the Xinjiang Uighur landrace maintained in the NBRP, we selected 70 characteristic strains according to their data of 16 agronomic traits available at the KOMUGI website of NBRP (http://www.shigen.nig.ac.jp/wheat/komugi/). 70 strains are listed in Table 1. T. aestivum cv. Chinese Spring (CS) and T. aestivum cv. Shirasagikomugi (SK) were used as controls for the salt-sensitive and salt-tolerant strains, respectively.

The assessment of salt tolerance was carried out as follows (Fig. 1): Ten seeds of each strain were germinated on wet filter paper at 4 oC for 3 days, and then transferred to 22 oC for 2 days. After germination, the seeds were put on floats made from sponge and foamed polystyrene, and hydroponically grown in 1/5 Murashige and Skoog (MS) medium (Murashige and Skoog Plant Salt Mixture; Wako) under conditions of 16-h long days (6000 lux) at 22 oC (Fig. 2). Plants were grown for 7 days, then 1/5 MS medium was replaced with fresh medium, and the plants were grown for additional 7 days. The lengths of the longest root and leaf were measured, and the chlorophyll content of the longest leaf was determined using a chlorophyll meter (SPAD-502; KONICA MINOLTA). Subsequently, one-half of the plants of each strain was grown in 1/5 MS medium containing 150 mM NaCl (salt treatment), and the other half was continuously grown in 1/5 MS medium (control) for 7 days. The lengths of the longest root and leaf and the chlorophyll contents of the longest leaf were measured. The differences based on each growth ratio between salt treatment and control groups were calculated using the formula summarized in Fig. 1, and the value was termed “salt-tolerance index”.

For assessment of salt tolerant plants, 70 Xinjiang Uighur strains, CS, and SK were used. Then, 3 Xinjiang Uighur strains, 2 for salt tolerance and 1 for salt sensitivity, were selected. The difference in the chlorophyll a (Chla) and chlorophyll b (Chlb) contents between the salt treatment and control groups was re-estimated by measuring the absorbance (Wellburm 1994) in 3 selected strains of the Xinjiang Uighur landrace, CS, and SK. The absorbance was measured using a spectrophotometer (NanoDrop 1000; Thermo Fisher Scientific) by using dimethylformamide (DMF) extract of fresh leaves, and the Chla and Chlb contents (μg/mL) were calculated using the formulae 11.65A664 - 2.69A647 and 20.81A647 - 4.53A664, respectively. The chlorophyll content per fresh weight was used for evaluation.

The results of salt-tolerance assessment of 70 strains of the Xinjiang Uighur landrace, CS, and SK are presented in Table 1 and Fig. 3. The salt-tolerance indices ranging from 0.61 to 1.20, 0.62 to 1.13, and 0.47 to 1.13 for the root, leaf, and chlorophyll content, respectively, indicated that the influence of salt stress on growth differed among the strains. Subsequently, we chose KT020-255 and KT020-299 as candidates for salt-tolerant strains, because the salt-tolerance indices of their roots were relatively high, and their germinations rates were good. The candidate for salt-sensitive strains KT020-175 was also selected on the basis of its low salt-tolerance index and good germination rate sufficient for subsequent experiments. The Chla and Chlb contents of the salt-tolerant and salt-sensitive candidate strains were separately determined to examine the correlation of chlorophyll content with salt tolerance. After salt treatment, both Chla and Chlb contents were relatively high in KT020-255 and KT020-299 and low in KT020-175 (Fig. 4A and 4B). These finding showed a correlation between the chlorophyll content and salt-tolerance index of the roots, with correlation coefficients of 0.766 and 0.761 for Chla and Chlb, respectively (Fig. 4C and 4D).

In this study, we selected 2 candidates for salt-tolerant strains from the Xinjiang Uighur landrace. The assessment of salt tolerance using a hydroponic culture system yielded the salt-tolerance index of the roots, revealing that the roots of some strains could grow normally under salt treatment conditions. The salt-tolerance indices of the leaves and the chlorophyll content correlated weakly with the salt-tolerance index of the roots. On the other hand, separate measurement of Chla and Chlb contents showed a positive correlation with the salt-tolerance index of the roots. We also selected a salt-sensitive strain in this study, which indicated that the Xinjiang Uighur landrace shows diversity in their salt-tolerance potential. Further exploration of salt-tolerant strains of the Xinjiang Uighur landrace will definitely prove valuable.

 

References

Wellburn AR (1994) The spectral determination of chlorophylls a and b, as well as total carotenoids, using various solvents with spectrophotometers of different resolution. J. Plant Physiol. 144: 307-313

Zhu JK (2002) Salt and Drought stress signal transduction in plants. Annu. Rev. Plant Biol. 53: 247-273