
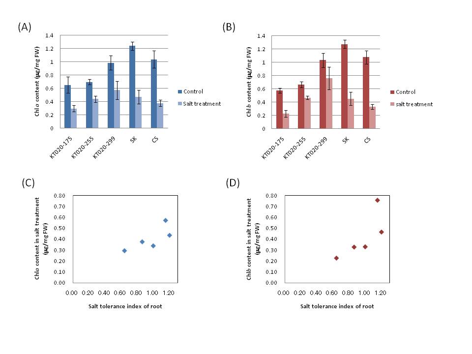
Fig. 4 Contents of chlorophyll a and chlorophyll b measured using DMF extract
(A) Chlorophyll a content of control and salt-treatment in selected strains
(B) Chlorophyll b content of control and salt-treatment in selected strains
(C) The relation between chlorophyll a content and salt-tolerance index of the roots
(D) The relation between chlorophyll b content and salt-tolerance index of the roots