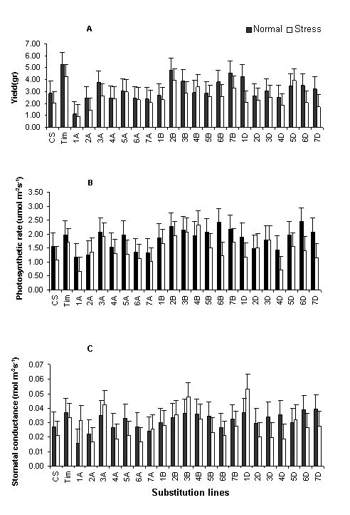
Figure 2. Mean values of yield (A) photosynthetic rate (B) and stomatal conductance (C) under stress and normal conditions in wheat substitution lines.